General in Sh*tpost Central

Call 911
Please I'm slowly getting addicted to coffee 😰

Loading...pro gamer moment
https://www.youtube.com/watch?v=oi3ZEFUCtCc guys im trynna make this blow up, its by mr lennox(my maths teacher).
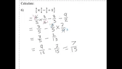
Year 10 Mathematics notes (part 1)
This project was created with Explain Everythingâ„¢ Interactive Whiteboard for iPad.
https://www.youtube.com/watch?v=oi3ZEFUCtCc
 0 votes Voting finished
Check all of the previous daily meme Challenge

do you watch mr. Beast
 30 votes Voting finished

1














